آموزش نرم افزار متلب برای رشته برق – عمل گر نقطه (Dot)
در این پست علامت نقطه(.) را درمتلب سایت سیم پاور معرفی می کنیم که یکی از دستورهای متلب سایت سیم پاور برای اجرا بر روی ماتریس های یکسان و عملیات ریاضی عضو به عضو می باشد.
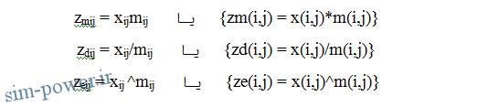
حال علامت نقطه(.) را درمتلب سایت سیم پاور معرفی می کنیم که یکی از دستورهای متلب سایت سیم پاور برای اجرا بر روی ماتریس های یکسان و عملیات ریاضی عضو به عضو می باشد. ماتریس-های (3⨯4) بعد را در نظر بگیرید:

حال عملیات نقطه (.) به تفصیل در زیر شرح داده می شود:


عبارت دیگر برای i=1,2,3 و j=1,2,3,4 :

توجه کنید که علامت (.) می بایست قبل از سمبل های ضرب، تقسیم و توان قرار بگیرد.
حال چند مورد ویژه این سه عملیات را بررسی می کنیم. در ضرب نقطه ای اگر x=x0 ، یک ثابت عددی باشد، استفاده از عمل گر نقطه الزامی نیست. از این رو :

به همین شکل هنگامی که m=m0 و برابر با یک ثابت عددی باشد:
x.*m = x*m0
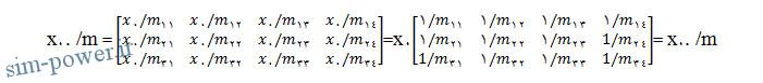
برای تقسیم نقطه ای هنگامی که m=m0 و برابر با یک ثابت عددی باشد:

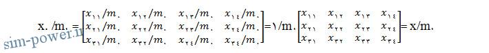
در حالی که در تقسیم یک عدد بر ماتریس، یعنی وقتی x=x0 و برابر یک ثابت عددی باشد:

استفاده از عمل گر نقطه (.)
استفاده از عمل گر نقطه (.) قبل از عمل تقسیم الزامی است.
همین طور اگر m=m0 ، یا x=x0، ثابت عددی باشند، لازم است که عملگر نقطه (.) برای توان به کار رود. پس اگر z = x^m، آنگاه:
z = x0. ^m
z = x. ^m0
برای روشن شدن نحوه استفاده از عملگر نقطه (.) برای دستور توان، محاسبه 2j را برای j = 1,2,3,…,8 را ملاحظه کنید:
;x=1:8 <<
y=2. ^x <<
=ans
( 256 128 64 32 16 8 4 2)
پس حضور عمل گر نقطه (.) قبل از عملگر توان (^) در متلب سایت سیم پاور حاکی از آن است که این عدد 2 است که توانش برای هریک از مقادیر x محاسبه می شود و نتایج آن در اعضای بردار y قرار می گیرد. دستورات فوق را می توان به صورت کوتاه تر نیز نوشت:
y=2. ^ (1:8) یا y = 2. ^ [1:8] ) % <<
حال اگر مسأله وارونه شود و بخواهیم که x2 را تعیین کنیم، آنگاه :
y= (1:8).^2 یا (y = [1:8].^2) % <<
نتیجه می دهد:
[1 4 9 16 25 36 49 64]
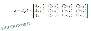
اگر f(y) نشان دهنده عملیات توابعی چون sin، cosh، besselj و … روی ماتریس y باشد، آنگاه اگر y به طور مثال ماتریس (3⨯4) زیر باشد:

دیگر کاربردهای عملگر نقطه (.)
با استفاده از عملگر نقطه (.) میتوان عملیات ریاضی مختلف روی ماتریس ها را با هم ترکیب کرد. به طور مثال اگر b، c، d و f همگی یک ماتریس (3⨯2) باشند، آنگاه عبارت :

به صورت زیر نوشته می شود:
;z= (tan (a)-f.*(b. /c). ^d). ^2 <<
اعضای z دارای مقادیر عددی محاسبه شده از عبارات بعد می باشند:

برای نشان دادن کاربرد عمل گر نقطه (.) به مثال زیر توجه کنید ( توجه شود که مقادیر بردارهای t و s باید قبلا مشخص شده باشند):
t=[t1 t2 t3] <<
s=[s1 s2 s3] <<
[u,v]=meshgrid(s,t) <<
نتیجه می دهد:

برای ضرب کردن اعضای نظیر u و v به ترتیب زیر عمل می کنیم:
z= u.*v <<
نتیجه می دهد:

اعضای z را می توان برابر با ترکیب های ایجاد شده از اعضای بردارهای t و s تعبیر کرد. تفسیر یکسانی نیز هنگامی که جمع، تفریق، تقسیم و توان اجرا می شود وجود دارد، از این رو علامت ضرب (*) را می توان با عملگر دیگری جایگزین کرد.
برای دانلود این آموزش به صورت پی دی اف بر روی لینک زیر کلیک کنید.
